进入9月,A股各家上市公司均已经披露2022年半年报。受疫情影响,上半年,环保板块整体表现如何?各细分领域孰强孰弱?龙头企业是否展现出增长韧性和抗风险能力?
整体行业上半年表现:受疫情反复,营收、净利双下滑
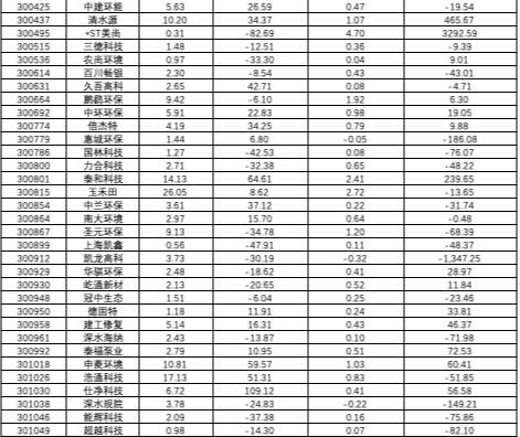
中国环境APP近日选取了A股共计187家涉环保业务上市公司作为样本,对其上半年营收、利润进行统计,并与去年同期进行对比发现:这187家上市公司2022年上半年营收总额为2334.25亿元,净利润总额为172.38亿元;其中,100家企业营收较去年同期实现正增长,69家企业净利润较去年同期呈正增长,151家企业净利润为正,平均利润率约为7.4%(各企业统计数据见下图)。
上述这组数字的背后,是分别占样本数47%、63%的企业营收及净利润均呈现下滑趋势,近20%企业出现亏损。对比中国环境保护产业协会于2021年发布的161家环保上市公司2021年上半年年报数据(133家营收总额增长,占比83%;122家环保营收增长,占比76%;98家利润增长,占比61%;16家出现亏损,占比10%),行业整体经营状况仍受疫情反复的影响,增速有所放缓,工程建设进度不及预期、产品需求下降等情况导致业务开展不及预期。








中国环境 整理制图
营收、利润前十强都有谁?
从营业收入方面,187家环保上市公司中,总营收排名前十位的环保企业分别为:格林美(139.24亿元)、首创环保(99.25亿元)、浙富控股(78.04亿元)、东湖高新(67.10亿元)、瀚蓝环境(61.35亿元)、泰达股份(57.44亿元)、盈峰环境(56.69亿元)、ST龙净(48.89亿元)、海新能科(48.06亿元)、华光环能(41.75亿元)。营业收入同比增速最快的前十家企业分别为:华控赛格(172.97%)、山高环能(170.57%)、*ST科林(131.04%)、天壕环境(127.05%)、复洁环保(114.85%)、仕净科技(109.12%)、卓越新能(101.50%)、*ST恒誉(98.90%)、清新环境(86.84%)、大地海洋(77.13%)。
从净利润方面,187家环保上市公司中,有151家企业实现盈利,69家净利润较去年同期出现增长。其中,净利润排名前十的环保企业分别为:重庆水务(9.36亿元)、伟明环保(9.02亿元)、首创环保(8.57亿元)、兴蓉环境(8.39亿元)、格林美(6.81亿元)、浙富控股(6.57亿元)、三峰环境(5.9亿元)、城发环境(5.82亿元)、瀚蓝环境(5.5亿元)、中山公用(5.35亿元)。净利润增速最快的前十位环保企业分别为:*ST美尚(3292.59%)、清水源(465.67%)、德创环保(426.79%)、天壕环境(416.35%)、山高环能(409.38%)、中航泰达(255.10%)、泰和科技(239.65%)、上海洗霸(171.51%)、科融环境(165.49%)、卓越新能(149.22%)。
哪些细分领域领跑行业?
综观整个行业,受疫情等因素影响,企业度过了营收增速放缓、盈利能力下降的上半年。但从上述榜单也不难看出,在水务、资源回收、垃圾焚烧等领域深耕、持有优质运营资产的企业发展更加良性,盈利能力相对较强。
以水务板块为例,稳定的属性使得首创股份、重庆水务、洪城环境、兴蓉环境、城发环境、瀚蓝环境、中山公用等全国大型水务集团及优秀地方水务企业营收利润及盈利能力在困难时期仍能领跑行业。
同是运营类资产,垃圾焚烧发电板块现金流优势日益凸显,在未来“无废城市”建设背景下,行业已进入成熟期,龙头企业伟明环保等取得了比其他企业更为优异的营收及利润水平,也为自身“焚烧+”市场提供更广阔的机遇,寻找新的利润增长点。
有关证券分析师表示,目前,固废上市公司新业务转型,谋求“第二成长曲线”,主要围绕新能源项目运营、新能源材料生产及回收进行展开。对于大多数垃圾焚烧发电企业,若在新领域实现突破和发展,除充分利用自身资金优势及资源禀赋外,合适的项目合作方也十分重要。
此外,在双碳背景下,被普遍看好的资源回收领域相关企业因有显著的减碳效应,需求释放确定性较高,半年报中,格林美、浙富控股已显现业绩高速持续成长。
你对哪家企业更熟悉,欢迎跟我们互动。
原题为:半年报披露完毕 环保上市公司表现如何?
编辑:潘圆圆 签发审核:石明
南通如皋:助企信用修复 优化营商环境
建设单位环保设施三同时制度是什么?根据排污许可规定,企业依法开展自行监测,原始记录...(35210)人阅读时间:2022-09-08
给企业治污“减负”!济南鼓励企业开展
今年以来,山东省济南市生态环境局精准做好政策宣传解读,因地制宜开展现场调研,及时跟...(46553)人阅读时间:2022-09-02
冶金工业规划研究院院长范铁军:钢铁需
今年上半年,受超预期因素冲击,我国经济下行压力加大,下游主要用钢行业运行指标均呈现...(50375)人阅读时间:2022-08-30
20家品牌企业联合发布“行动指南”,推
随着社会购买力的提升,消费导致的碳排放占比不断提升。这种情况下,很多消费者意识开始...(54012)人阅读时间:2022-08-30
严格执法,暖心服务!潍坊诸城分局全力
山东省潍坊市生态环境局诸城分局以改善环境质量为核心,在大力抓好大气、水、土壤等重点...(45635)人阅读时间:2022-08-26